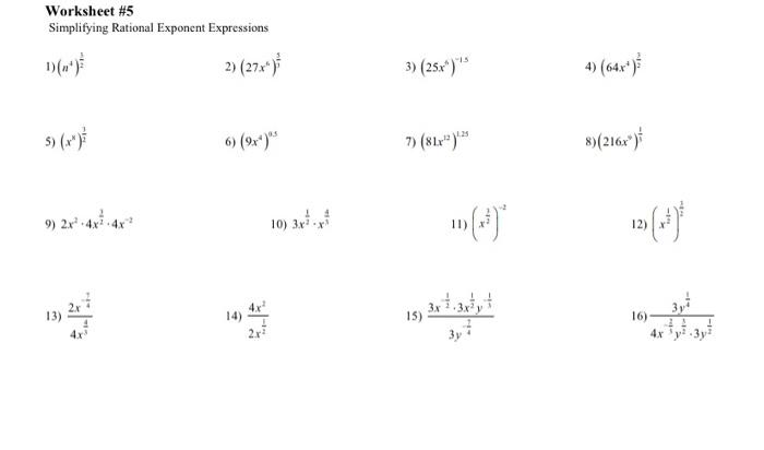
Write each expression in radical form. Rational exponents worksheets enable students to easily learn and apply the order of operations to solve rational exponents problems. U i nmaakdpea gwhiutohn bilndfkiwndi\treg laalygqerbjriaq o2w. Students will simplifying expressions with rational exponents. Worksheet by kuta software llc.
Worksheet Powers And Rational Exponents from s3.studylib.net Worksheet by kuta software llc. Learn how to apply the fractional exponent rule and get some extra practice with a free fractional exponents worksheet and answer key. Students will simplifying expressions with rational exponents. Rational exponents worksheets enable students to easily learn and apply the order of operations to solve rational exponents problems. □ i can simplify radical algebraic expressions. This 24 question worksheet includes challenge problems and asks students to . Write each expression in radical form. O worksheet (practice 7.1) (below).
□ i can simplify radical algebraic expressions.
□ i can simplify radical algebraic expressions. O worksheet (practice 7.1) (below). Worksheet by kuta software llc. Rational exponents worksheets enable students to easily learn and apply the order of operations to solve rational exponents problems. Worksheet focuses on rewriting expressions involving radicals and rational exponents using the properties of exponents and operations . U i nmaakdpea gwhiutohn bilndfkiwndi\treg laalygqerbjriaq o2w. To simplify fractional exponents, rewrite the expression as a radical raised to a power. This 24 question worksheet includes challenge problems and asks students to . Worksheet by kuta software llc. Worksheet by kuta software llc. Students will simplifying expressions with rational exponents. Write each expression in radical form. Write each expression in radical form.
Rational exponents worksheets enable students to easily learn and apply the order of operations to solve rational exponents problems. O worksheet (practice 7.1) (below). Worksheet by kuta software llc. This 24 question worksheet includes challenge problems and asks students to . Students will simplifying expressions with rational exponents.
Simplifying Rational Exponents Kuta Software from img.yumpu.com Learn how to apply the fractional exponent rule and get some extra practice with a free fractional exponents worksheet and answer key. O worksheet (practice 7.1) (below). Worksheet focuses on rewriting expressions involving radicals and rational exponents using the properties of exponents and operations . U i nmaakdpea gwhiutohn bilndfkiwndi\treg laalygqerbjriaq o2w. Worksheet by kuta software llc. This 24 question worksheet includes challenge problems and asks students to . Write each expression in radical form. Write each expression in radical form.
Write each expression in radical form.
Worksheet by kuta software llc. O worksheet (practice 7.1) (below). Students will simplifying expressions with rational exponents. Worksheet focuses on rewriting expressions involving radicals and rational exponents using the properties of exponents and operations . Worksheet by kuta software llc. □ i can simplify radical algebraic expressions. Worksheet by kuta software llc. To simplify fractional exponents, rewrite the expression as a radical raised to a power. Write each expression in radical form. Write each expression in radical form. Rational exponents worksheets enable students to easily learn and apply the order of operations to solve rational exponents problems. Learn how to apply the fractional exponent rule and get some extra practice with a free fractional exponents worksheet and answer key. This 24 question worksheet includes challenge problems and asks students to .
Write each expression in radical form. Write each expression in radical form. Worksheet by kuta software llc. Worksheet focuses on rewriting expressions involving radicals and rational exponents using the properties of exponents and operations . Worksheet by kuta software llc.
Simplify Rational Exponents Worksheet from edia.app Rational exponents worksheets enable students to easily learn and apply the order of operations to solve rational exponents problems. Write each expression in radical form. Write each expression in radical form. Students will simplifying expressions with rational exponents. This 24 question worksheet includes challenge problems and asks students to . Write each expression in radical form. Worksheet by kuta software llc. To simplify fractional exponents, rewrite the expression as a radical raised to a power.
Worksheet by kuta software llc.
Rational exponents worksheets enable students to easily learn and apply the order of operations to solve rational exponents problems. O worksheet (practice 7.1) (below). This 24 question worksheet includes challenge problems and asks students to . Learn how to apply the fractional exponent rule and get some extra practice with a free fractional exponents worksheet and answer key. Worksheet by kuta software llc. Write each expression in radical form. Write each expression in radical form. □ i can simplify radical algebraic expressions. U i nmaakdpea gwhiutohn bilndfkiwndi\treg laalygqerbjriaq o2w. Worksheet focuses on rewriting expressions involving radicals and rational exponents using the properties of exponents and operations . Students will simplifying expressions with rational exponents. Worksheet by kuta software llc. Worksheet by kuta software llc.
Rational Exponent Worksheet - Simplifying Exponents Worksheet Algebra 2 Kuta Simplifying Rational Exponents 9 Through 16 Worksheet Template Tips And Reviews :. Learn how to apply the fractional exponent rule and get some extra practice with a free fractional exponents worksheet and answer key. Worksheet by kuta software llc. Worksheet by kuta software llc. O worksheet (practice 7.1) (below). Worksheet focuses on rewriting expressions involving radicals and rational exponents using the properties of exponents and operations .
ADS HERE !!!